最近凯发k8官网天文与空间科学学院张彬彬副教授、戴子高教授课题组在引力波事件及伽玛射线暴研究领域取得了重要进展,相关成果分别发表在近期的《自然·通讯》和《自然·天文学》杂志上。
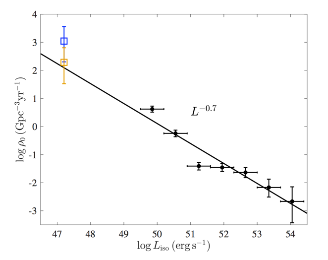
2017年8月17日,激光干涉引力波天文台(LIGO)探测到首例来自双中子星合并产生的引力波事件GW170817。之后,2颗高能天文卫星Fermi和INTEGRAL分别同时探测到该事件的高能电磁对应体——短伽玛暴GRB 170817A。这是继2015年9月人类首次直接探测到引力波之后,历史上第一次发现引力波的电磁对应体。这个重大发现强有力地证明短伽玛暴产生于双中子星的并合过程。张彬彬老师迅速带领合作团队,对该事件在伽玛射线波段的瞬时辐射展开了全面的分析和研究(图1)。通过分析光度变化的精细结构和能谱,发现这是一个光度异常低的短伽玛暴,提出这样的观测只能由偏轴的结构化喷流或中心引擎周围的“茧状”辐射区产生,同时还指出这一超低光度的短伽玛暴预示着由双子星并合产生的伽玛暴的发生率远高于人们之前的预期(图2)。该项研究成果以“A peculiar low-luminosity short gamma-ray burst from a double neutron star merger progenitor”为题于2018年1月31日发表在《自然·通讯》杂志上(https://www.nature.com/articles/s41467-018-02847-3)。这一研究工作得到了国家科技部973计划、国家自然科学基金委、中组部青年项目以及天文与空间科学学院启动经费等项目的支持。

图1. GRB 170817A的能量-时间分布与光变曲线

图2. 由GRB 170817A 及 GW170817计算得到的低光度伽玛暴发生率(黄色)和致密星并合的发生率。
除了对引力波事件GW170817/GRB 170817A研究外,张彬彬老师自加入天文与空间科学学院戴子高教授课题组以来,还以观测数据的处理和分析为基础和切入点,开展了多个课题的科学研究。张彬彬老师联合凯发k8官网、北京大学、中山大学、紫金山天文台等国内相关单位以及美国、英国、西班牙、俄罗斯、韩国等多个国家的天文研究机构,开展了“三胞胎”伽玛暴GRB 160625B的观测与理论研究,相关成果以“Transition from fireball to Poynting-flux-dominated outflow in the three-episode GRB 160625B”为题于2018年1月31日发表在《自然·天文学》杂志上(https://www.nature.com/articles/s41550-017-0309-8)。这项研究工作详尽分析了GRB 160625B时间分辨谱和多波段观测数据,指出这类由前兆辐射、瞬时辐射和延展辐射按照演化序列构成的完整伽玛暴可能具有一定的普遍性,因此GRB 160625可能是对人们深刻理解伽玛暴物理的一个非常关键的“原型”伽玛暴(图3)。

图3. GRB 160625B γ射线波段的光变曲线,完美诠释了伽玛暴γ波段辐射的完整组成:前兆辐射(precursor)、瞬时辐射(main prompt emission,亦称主暴)和延展辐射(extended emission)。图片来源 Zhang, B.-B. et al 2018, Nature Astronomy,2, 69
(天文与空间科学学院 科学技术处)