近期,化学化工学院朱从青教授课题组在f 区金属-配体多重键方面的研究取得进展,相关结果以“Double Dative Bond Between Divalent Carbon(0) and Uranium”为题发表于《自然-通讯》(Nature Communications, 2018, 9, 4997)。
碳是化学中最基本的元素之一,理解碳与其它元素之间的成键本质是化学研究的中心议题。另一方面,含金属-碳双键的过渡金属卡宾化学发展迅猛,且在合成化学领域展示出巨大的应用前景。根据碳原子的不同性质,金属卡宾的成键模式可以分为以下三类。目前,人们对单线态Fischer型金属卡宾和三线态Schrock型金属卡宾已有深入研究,而碳原子同时作为σ和p电子给体的研究较少。

图1. 碳与金属的成键模式
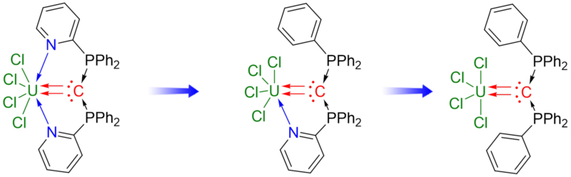
朱从青教授课题组设计合成了一类新颖的三齿螯合型卡宾前体,其经去质子化,可同时作为σ和p电子给体与f 区金属配位,得到含f区金属-碳双键的物种(图2)。通过对配体螯合位点的调节,成功得到双齿和单齿螯合的f区金属-碳双键配合物,表明非螯合型双重配位键物种仍能稳定存在。X-射线单晶衍射结果发现这些配合物中金属铀–碳键长(2.4 ?)与已报道的铀–碳双键键长相当。通过与德国马堡大学Gernot Frenking教授和凯发k8官网工业大学赵莉莉教授理论计算方面的合作,发现铀与碳之间确实通过双重配位键结合,也即碳原子的两对孤对电子通过σ-和π-给体同时与金属铀作用,形成双键,而不是传统意义上的金属卡宾键。从而首次提出碳与f区金属元素之间双重配位键的概念。

图2. f-区金属-碳双重配位键的构筑
该工作是在朱从青教授指导下,主要由苏伟博士(第一作者)完成。该研究工作得到国家自然科学基金、江苏省自然科学基金、江苏省“特聘教授”计划、青年人才托举工程项目等经费资助。感谢化学化工学院和配位化学国家重点实验室在课题组建设初期提供的大力支持。
(化学化工学院 科学技术处)