气象观测数据表明, 过去一百年(1919-2018)全球气温上升了0.81°C, 现在,这种升温还在持续。全球气温升高后, 会引起海面上升、珊瑚死亡、极端洪涝事件增多等自然灾害和环境变化,因此,全球变暖是受到普遍关注的重要问题。通常认为,近百年的全球变暖是由于人类排放CO2等温室气体造成的,气温上升到了一个史无前例的高度。另一方面,太阳辐射量、海洋变化也可能引起全球温度升降,特别是在中高纬度地区,太阳辐射长周期变化引起大气温度变化更为明显。迄今,太阳辐射、海洋和温室气体变化对现代增温贡献有多大,还没有定量评估结果,因此,人们对于近百年增温的原因,并不清楚。近日,由国家重点研发计划项目“过去气候变化定量重建方法和我国区域气候重建”研究骨干、中国科学院地质与地球物理研究所史锋副研究员等完成的一项研究表明,在距今8100-7600年期间,中国夏季最为温暖,也最为湿润;现代百年的夏季增温并未达到10,000年来的最高值。
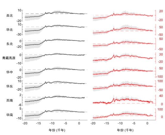
史锋副研究员等集成分析了近60年仪器观测的中国平均夏季气温和降水变化序列、近1千年树木年轮和历史文献等重建的夏季温度和降水变化序列、最近2千年和最近2万年气候模式模拟结果,通过应用他们创建的“最优信号提取法”(OIE, the optimal information extraction, 一种数据同化技术), 获得了最近22,000年中国不同区域年夏季气温和降水变化的时间序列(图1,图2)。他们的研究结果表明,如果以百年平均温度计,距今8100-7600年期间中国夏季平均温度高于现在,也是最近22,000年以来气温最高值;同时,当时各地的夏季降水量也高于现代的平均值(图1, 图2)。这一研究工作的重要意义在于,在长期气候变化中,自然因素比如太阳辐射和海洋变化、显著地调节着气候变化,人类活动排放的温室气体提高了地球气温,但可能还没有超过自然的调节作用。最近100年,全球大气温室气体含量显著增多,现在已经达到415.52 ppm, 比工业革命前的290 ppm增加了43.28%,这会改变全球气温变化的进程。但是,由于地球轨道变化引起的高纬度地区接受太阳辐射量变化,在最近100年北半球并未达到最高值,因此,中国区域的温度并未上升到10,000年来最高,太阳辐射量依然对中国大气温度变化起决定性作用。这一研究工作应用了升级后的“最优信号提取法”、集成了现有最全面的仪器观测、树木年轮和历史文献等气候重建和古气候数值模拟的成果,因此,是一项关于现代暖期变化可信度高的评价结果。这一研究对于正确评估区域和全球气候变化,有重要意义。

图1. 中国八大区域古气候重建和数值模拟结果对比(数据同化后)。左图是夏季(6-8月)温度距平(单位: °C, 以1961-1990年的为平均值);右图是夏季(5-9月)降水距平(单位: 毫米/月, 以1961-1990年的为平均值)。红线: 代用指标重建序列; 黑线: CESM-LME模式模拟结果; 蓝线: LOVECLIM-LCE 模式模拟结果; 绿线: TraCE-21ka 模式模拟结果. 东北 (NEC; 39°N–54°N, 119°E?134°E); 华北 (NC; 36°N–46°N, 111°E?119°E); 华东 (EC; 27°N–36°N, 116°E?122°E); 华中 (CC; 27°N–36°N, 106°E?116°E); 华南 (SC; 20°N–27°N, 106°E?120°E); 青藏高原 (QTP; 27°N–36°N, 77°E?106°E); 西南 (SWC; 22°N–27°N, 98°E?106°E); 西北(NWC; 36°N–46°N, 75°E?111°E).

图2. 过去22,000年中国夏季(6-8月)温度(黑线,单位:°C)和(5-9月)降水(红线,单位:毫米/月)相对于1961-1990年平均值的距平(灰色区域指示全体样本的10分位和90分位范围)。点线是1919-2018年 (现代暖期,the Current Warm Period)夏季温度和降水的平均值。全部数据经过99点平滑处理。
由于人类全面观测地球气候变化的历史只有一百多年,对于长期气候演变,科学家只能从树木年轮、以及湖泊、黄土、海洋、冰雪等沉积物中,寻找过去气候变化的信息,重建气候变化过程。该项目首席科学家、凯发k8官网鹿化煜教授认为,由于重建过去气候变化有不确定性、古气候数值模拟误差也较大,实现仪器观测、古气候重建和数值模拟结果的精确对比,现在仍然存在困难;因此,全面揭示现在暖期的特征和成因,是国际科学难题。本研究的亮点在于利用“最优信号提取法”,有效地赋予了不同记录和数值模拟结果、不同区域夏季温度时间序列的权重,实现了古-今气候变化记录直接对接。这一研究思路和方法,对评估未来全球和区域的气候变化,有重要启示。
这项研究结果发表在国际知名学术刊物《地球物理通讯》(Geophysical Research Letters)上。史锋副研究员是论文的第一作者和通讯作者,参加这项研究的还有中国科学院院士郭正堂研究员,我校地理与海洋科学学院鹿化煜教授、史江峰副教授、赵成教授以及中国科学院、凯发k8官网信息工程大学和比利时法语鲁汶大学的多位研究员和教授。这项研究得到了国家重点研发计划项目和国家自然科学基金项目的联合资助。
论文信息: Feng Shi, Huayu Lu, Zhengtang Guo, Qiuzhen Yin, Haibin Wu, Chenxi Xu, Enlou Zhang, Jiangfeng Shi, Jun Cheng, Xiayun Xiao, and Cheng Zhao. 2021. The Position of the Current Warm Period in the Context of the Past 22,000 years of Summer Climate in China. Geophysical Research Letters, 48, e2020GL091940.
论文链接:https://agupubs.onlinelibrary.wiley.com/doi/epdf/10.1029/2020GL091940
论文号码: https://doi.org/10.1029/2020GL091940