二维材料由于其独特的光电性质和宽阔的应用范围,在过去十几年来引起了世界各地科学家广泛的研究兴趣。砷烯(Arsenene)作为第五主族二维材料中的一员,有三种同素异形体,分别是灰砷(菱方晶相)、黑砷(正交晶相)和黄砷(As4分子晶体)。不同晶相的砷烯具有各异的电学性质,例如:具有蜂窝状晶体结构的灰砷是半金属,具有类似于黑磷晶体结构的单层和少层黑砷表现出半导体性,分子晶体型的黄砷则是绝缘体。虽然液相剥离法制备了少层灰砷烯纳米片,但其半金属特性和环境易氧化性限制了灰砷烯在光电子器件中的应用。到目前为止,可控获取单层或双层的灰砷烯仍然是一个巨大挑战,更不用说在环境空气中有效的保存。此前,凯发k8官网化学化工学院介观化学教育部重点实验室、江苏省先进有机材料重点实验室金钟教授团队使用范德华外延法成功制备了高结晶度的少层灰砷烯纳米片,并提出了一种通过高分子聚合物钝化砷烯纳米片的方法,极大地提高了砷烯纳米片环境稳定性,为后续灰砷烯的改性、加工和纳米器件应用铺平了道路(Chemistry of Materials, 2019, 31(12): 4524~4535)。随后,金钟教授团队还提出了一种通过液相剥离方法规模化制备砷烯纳米片的方法,并与凯发k8官网理论与计算化学研究所马晶教授团队合作对其与溶剂相互作用的机理进行了深入的研究(Physical Chemistry Chemical Physics, 2019, 21(23): 12087~12090)。进一步地,金钟教授团队与凯发k8官网郭子建院士、赵劲教授合作,发现砷烯能够与动物体内的核蛋白相互作用,在用于治疗急性早幼粒细胞白血病的潜在药物方面有巨大的潜力(Angewandte Chemie International Edition, 2020, 59(13): 5151~5158)。为了进一步调控砷烯的物理和化学性质,采用合理的策略精确调节其原子构型和电学结构并保持灰砷烯原始的二维特殊形态具有重要意义。从这一角度出发,如果能够可控地将半金属灰砷烯转化为半导体性的玻璃态砷烯,将会是一个能扩宽砷烯在纳米电子学、光学和生物医学等诸多领域应用范围的有效途径。
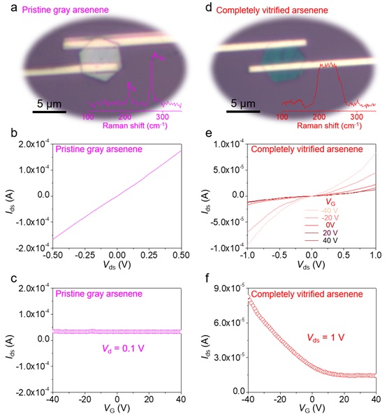
最近,金钟教授团队提出通过氢氟酸(HF)溶液对砷烯进行表界面处理的湿化学法,成功地将半金属性的灰砷烯纳米片可控地转化为半导体性的玻璃态砷烯纳米片的有效途径。并系统性地探究了玻璃化过程的机理和玻璃态砷烯的光电性质。该湿化学处理过程可以在有或没有上表面聚合物涂层的保护下进行,通过对灰砷烯纳米片的表面进行不同的聚合物涂层保护,可以有选择性地对其实现单面或双面的可控玻璃化,并且能够很方便地转移到任意的平坦衬底上(图1)。例如,首先在砷烯纳米片上表面旋涂聚甲基丙烯酸甲酯(PMMA)膜,随后浸入HF水溶液中,可以成功实现从下表面开始的玻璃化,也可以通过直接将生长于云母衬底的砷烯纳米片浸入HF溶液中实现。在这种情况下,由于云母表面易受HF渗透,玻璃化从砷烯纳米片的两侧同时开始。通过详细的结构表征,证实了玻璃态砷烯纳米片具有典型的玻璃化特性,与高结晶度的原始灰砷烯有明显的结构差别。完全玻璃化的砷烯纳米片完美地保留了初始砷烯的六角形形状,并表现出典型的非晶态特性。通过采集部分玻璃化的砷烯纳米片的不同位置的TEM图像和SAED图案,可以清楚识别砷烯纳米片的玻璃化部分和未玻璃化部分的边界,揭示了砷烯纳米片的边缘区域比中间区域的玻璃化反应更为迅速。相对于中心区域,砷烯纳米片的边缘区域更易于被湿化学处理玻璃化(图2)。研究还发现,HF水溶液中溶解氧含量的提高,能够对灰砷烯纳米片的玻璃化过程反应速度起到很大的促进作用。详细的表征和测试研究表明,与原始灰砷烯纳米片的半金属特性不同,所制备的玻璃态砷烯纳米片在635 nm处有一个很强的光致发光峰,对应的光学带隙为1.95 eV。基于玻璃态砷烯纳米片的场效应晶体管表现出明显的p型半导体特性,载流子迁移率为~159.1 cm2 V-1 s-1(图3)。通过与马晶教授合作进行理论模拟计算和机理分析表明,灰砷烯纳米片的玻璃化过程是由于HF和溶解氧共同参与了对砷烯纳米片的刻蚀作用,消耗了砷烯界面和内部的一部分砷原子,从而形成了砷原子缺陷/空位和无序的原子结构,有效改变了砷烯的电子能级结构(图4)。这种新型的湿化学处理方法提供了一种能够诱导半金属性的灰砷烯向半导体性的玻璃态砷烯进行可控转变的有效策略,有目标、有针对性地调控了砷烯纳米片的电学和光学性质,从而为二维纳米材料的界面和能带结构调制提供了崭新的思路。
该研究成果以“Wet Chemistry Vitrification and Metal-to-Semiconductor Transition of Two-Dimensional Gray Arsenene Nanoflakes”为题发表在Advanced Functional Materials期刊上(DOI: 10.1002/adfm.202106529)。凯发k8官网金钟教授和马晶教授为该论文的通讯作者。副研究员胡毅博士为该论文的第一作者。该研究工作得到了国家重点研发计划项目、JWKJWCXTQ项目、国家自然科学基金项目、江苏省杰出青年基金、中央高校基本科研业务费专项资金等项目的资助。

图1. 湿化学法处理诱导灰砷烯纳米片玻璃化的原理示意图和显微照片。

图2. 部分玻璃化和完全玻璃化的砷烯纳米片的晶体结构表征。

图3. 晶态灰砷烯和玻璃态砷烯的电学输运性质对比。

图4. 砷烯纳米片玻璃化过程的机理研究。